2022年6月15日,米兰milan官方网站国际经济政治学院杜明威博士、耿景珠博士、刘文革教授在《国际贸易问题》发表最新研究成果。该研究以“企业数字化转型与中国出口产品质量升级:来自上市公司的微观证据”为题,基于2001—2016年中国上市公司年报文本数据,利用机器学习方法从微观层面测度了企业的数字化转型指数,并匹配了对应的上市公司经济数据以及中国海关数据,深入探讨了企业数字化转型对出口产品质量的影响效应及渠道机制。
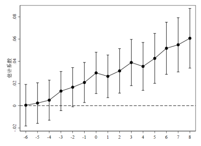
图1 双重差分估计结果
研究结论表明,企业的数字化转型能够有效促进出口产品质量的升级,该结论在经系列稳健性检验后仍然成立。为有效克服内生性问题,文章将企业所在省份的长途光缆线路长度和互联网接入端口数量作为数字化转型的工具变量,估计结果依然稳健。基于事件研究法的动态效应结果表明,企业数字化转型对出口产品质量的促进作用具有长期的可持续性的影响。机制分析表明,企业的数字化转型通过创新能力增强、出口产品转换和中间品投入质量提升三种渠道促进出口产品质量的升级。异质性分析表明,数字化转型因企业所有制、地区“数字鸿沟”、出口产品性质以及行业类型的不同而对出口产品质量产生差异性影响。进一步分析发现,数字化转型能够通过资源再配置效应促进行业总体层面的出口产品质量升级。

该项工作得到国家社会科学基金重大专项课题“完善社会主义市场经济体制研究”和辽宁省兴辽英才计划项目“新国际政治经济学建设”的支持。
引用来源:“杜明威,耿景珠,刘文革.企业数字化转型与中国出口产品质量升级:来自上市公司的微观证据”,《国际贸易问题》,2022(06):55-72.

杜明威是米兰milan官方网站国际经济政治学院2019级博士研究生,主要研究方向为国际贸易、数字经济、全球价值链。目前在《统计研究》、《数量经济技术经济研究》、《国际贸易问题》、《日本学刊》等期刊发表多篇文章。
耿景珠是米兰milan官方网站国际经济政治学院2020级博士研究生,主要研究方向为国际贸易、世界经济、数字经济。目前在《统计研究》、《国际贸易问题》、《国际经贸探索》等期刊发表多篇文章。
刘文革教授是米兰milan官方网站国际经济政治学院院长、博士生导师,“钱江学者”特聘教授,教育部新世纪优秀人才。迄今在《经济研究》、《管理世界》、《经济学动态》等重要杂志发表论文40余篇,发表专著3部,主持国家社科重大基金项目1项、国家社科和自然基金一般项目4项、教育部人文社科基金项目3项。